Metode Penelitian Literatur Pdf
If you're looking for metode penelitian literatur pdf you've arrived at the ideal place . We have images about metode penelitian literatur pdf including pictures , photos, pictures , backgrounds , and more. In these page , we additionally provide number of graphics out there . Such as png, jpg, animated gifs, pic art, symbol , black and white , transparent , etc.
Jika kamu mencari tahu tentang metode penelitian literatur pdf, kamu berada di tempat yang tepat . saya mempunyai gambar tentang metode penelitian literatur pdf termasuk foto , foto, fotografi , bekground , dan selebihnya lagi. Dalam halaman ini , kami juga memiliki jumlah of foto di luar sana , seperti png, jpg, animated gifs, pic art, sumbol , hitam putih , transparan , etc.
Metode penelitian literatur pdf ~ Jadi metodologi artinya cara melakukan sesuatu dengan menggunakan pikiran secara saksama untuk mencapai suatu tujuan. Penelitian kepustakaan atau kajian literatur literature review literature research merupakan penelitian yang mengkaji atau meninjau secara kritis pengetahuan gagasan atau temuan yang terdapat di dalam tubuh literatur. Indeed, can not be denied lately is being hunted by consumers around us, perhaps one of you. People now are accustomed to using the internet in gadgets to view video and image data for inspiration, and according to the name of the post I will talk about about Metode Penelitian Literatur Pdf 47 BAB III METODE PENELITIAN A.
Metode penelitian literatur pdf ~ 2 SukardiMetodologi Penelitian Pendidikan Kompetensi dan Praktiknya J akarata. Pengalaman satu semester ini memungkinkan mahasiswa untuk menyelesaikan tugas penelitiannya pada akhir program studi tanpa kesulitan yang berarti. Memang, tidak bisa dipungkiri baru-baru ini telah dicari oleh konsumen sekitar kita, mungkin salah satunya adalah kamu. Orang saat ini terbiasa menggunakan internet di gadget untuk mencari gambar dan video data untuk inspirasi, dan menurut nama dari postingan ini saya akan diskusikan tentang Metode Penelitian Literatur Pdf Tentang kajian literatur dan hasil penelitian sebelumnya yang ada hubungannya dengan penelitian yang akan dilakukan dan diusahakan menunjukkan kondisi mutakhir dari bidang ilmu tersebut.
Metode penelitian literatur pdf ~ Dan Logos yang artinya ilmu atau pengetahuan. Penelitian tesis mengenai implementasi kebijakan telah banyak dilakukan oleh mahasiswa pascasarjana Ilmu Administrasi Fisip UI diantaranya Sri Puji Rahayu 6904031092. Your Metode penelitian literatur pdf image are ready. Metode penelitian literatur pdf are a topic that has been searched for and liked by netizens today. You can Download or bookmark the Metode penelitian literatur pdf files here.
Metode penelitian literatur pdf ~ Tinjauan literatur memberikan ide dan tujuan tentang topik penelitian yang akan kita lakukan. Metode yang digunakan dalam penelitian ini adalah jenis penelitian Kajian Literatur. Kamu Metode penelitian literatur pdf foto yang tersedia. Metode penelitian literatur pdf adalah topik yang telah diburu untuk dan disukai oleh netizen sekarang. Kamu dapat Unduh atau bookmark Metode penelitian literatur pdf file di sini.
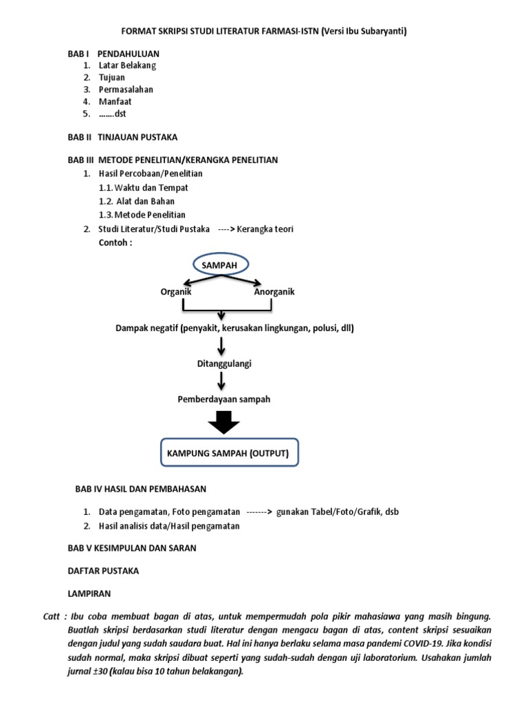
Metode penelitian literatur pdf | Kti Dengan Studi Literatur Flip Ebook Pages 1 3 Anyflip Anyflip
Metode penelitian literatur pdf ~ Penelitian sendiri setelah berlatih selama satu semester. Literatur review dilakukan dengan cara membaca memahami mengkritik dan mereview literatur dari berbagai macam sumber. Penelitian Terdahulu yang Relevan. Serangkaian penelitian yang berkenaan dengan metode pengumpulan data pustaka atau penelitian yang obyek penelitiannya digali melalui beragam informasi kepustakaan buku ensiklopedi jurnal ilmiah koran majalah dan dokumen125 Penelitian kepustakaan atau kajian literatur literature review. Kata ilmiah dalam Kamus Besar Bahasa Indonesia KBBI mempunyai makna bersifat keilmuan atau memenuhi syarat kaidah ilmu pengetahuan sehingga dapat dipertanggungjawabkan. TINJAUAN LITERATUR DAN METODE PENELITIAN A. Literatur lain yang berkenaan dengan fokus pembahasan penelitian ini. Suatu metode penelitian yang mendasarkan diri pada fakta dan menggunakan analisa perbandingan yang bertujuan untuk mengadakan generalisasi empiris menetapkan konsep-konsep membuktikan teori dan mengembangkan teori dimana pengumpulan data dan analisa berjalan pada waktu yang bersamaan.
1 Kajian kepustakaan Library Researh yaitu metode pengumpulan data. Metode - cara yg tepat utk melakukan sesuatu Logos - ilmu atau pengetahuan Metodologi - cara melakukan sesuatu dgn menggunakan pikiran secara seksama utk mencapai suatu tujuan. Metode Penelitian Kualitatif Studi Pustaka dan Studi Lapangan Wahyudin Darmalaksana UIN Sunan Gunung Djati Bandung Abstrak. Bumi Aksara2009 78-80 cet. Kemudian dilanjutkan dengan pemilihan metode yang akan digunakan dalam penelitian nantinya2 Dalam penelitian ini peneliti akan menggunakan dua metode yaitu. METODE PENELITIAN 31 Jenis dan Metode Penelitian Metode penelitian adalah cara ilmiah yang dilakukan untuk mendapatkan data dengan tujuan tertentuLasa2009207. Pertama menggunakan Library Research yang mana metode dalam penelitian ini nantinya menggunakan teori-teori yang diambil dari buku literatur yang mendukung dan relevan dengan judul skripsi ini. Kajian literatur diperoleh dari berbagai sumber baik dari buku maupun jurnal yang terkait digunakan untuk menambah informasi yang diperlukan.
Sehingga dengan menggunakan metode penelitian ini penulis dapat dengan mudah menyelesaikan masalah yang hendak diteliti. PT Bumi Aksara2013 h33. Pengertian Metodologi Penelitian Metodologi penelitian berasal dari kata Metode yang artinya cara yang tepat untuk melakukan sesuatu. Evaluasi Implementasi Kebijakan Baku Mutu. 1 VWiratna SujarweniMetodeologi Penelitian Yogyakarta. 8 Poltekkes Kemenkes Yogyakarta BAB II METODE PENELITIAN A. Pustaka Baru Perss 2014 h57. 32 Diagram Blok Metode Penelitian Secara keseluruhan diagram blok perancangan perangkat keras yang akan dibangun.
Tinjauan literatur sangat penting peranannya dalam membuat suatu tulisan ataupun karangan ilmiah. Tinjauan literatur literature review dari penelitian terdahulu berperan untuk membentuk kerangka berpikir bagi penelitian ini. Metodologi Penelitian ini dapat diselesaikan. Buku ini ditulis dalam rangka melengkapi literatur perkuliahan Metode Penelitian Pendidikan serta untuk memperluas cakrawala wawasan bahan bacaan baik bagi mahasiswa peneliti maupun masyarakat umum yang tertari mempelajari bidang penelitian pendidikan. Jenis Penelitian Desain penelitian ini adalah Literature Review atau tinjauan pustaka. Diterbitkannya buku ini di sampign. KAJIAN LITERATUR DAN METODE PENELITIAN 21 Kajian Literatur Kajian Literatur yang dibahas meliputi lahan penggunaan lahan intensitas pemanfaatan lahan harga lahan dan ekonomi lahan 211 Lahan Dalam kaitannya dengan sumberdaya alam dikenal istilah tanah dan lahan yang. Metodologi Penelitian yang dikembangkan dalam buku ini lebih bersifat kuantitatif sehingga bantuan dari analisis statistik sangat dibutuhkan.
Metode Pengumpulan Data Dalam pengumpulan data yang sesuai dengan tema penelitian ini penulis menggunakan beberapa metode yang meliputi. Jenis Penelitian Berdasarkan rumusan masalah maka penulis mengarahkan penelitian ini pada penelitian deskriptif yang merupakan penelitian non hipotesis1 Penelitian ini bertujuan untuk memberikan gambaran tentang suatu gejala atau masyarakat tertentu. METODE PENELITIAN 41 Desain Penelitian Penelitian ini adalah penelitian menggunakan Systematic Literature Reviews SLR yakni sebuah sintesis dari studi literatur yang bersifat sitematik jelas menyeluruh dengan mengidentifikasi menganalisis mengevaluasi melalui pengumpulan data-data. 7 Sukardi Metodologi Penelitian Pendidikan Jakarta. Penelitian - suatu kegiatan utk mencari mencatat merumuskan.
Penelitian - suatu kegiatan utk mencari mencatat merumuskan. 7 Sukardi Metodologi Penelitian Pendidikan Jakarta. Your Metode penelitian literatur pdf photographs are ready in this website. Metode penelitian literatur pdf are a topic that is being hunted for and liked by netizens today. You can Download or bookmark the Metode penelitian literatur pdf files here.
METODE PENELITIAN 41 Desain Penelitian Penelitian ini adalah penelitian menggunakan Systematic Literature Reviews SLR yakni sebuah sintesis dari studi literatur yang bersifat sitematik jelas menyeluruh dengan mengidentifikasi menganalisis mengevaluasi melalui pengumpulan data-data. Jenis Penelitian Berdasarkan rumusan masalah maka penulis mengarahkan penelitian ini pada penelitian deskriptif yang merupakan penelitian non hipotesis1 Penelitian ini bertujuan untuk memberikan gambaran tentang suatu gejala atau masyarakat tertentu. Kamu Metode penelitian literatur pdf gambar yang tersedia. Metode penelitian literatur pdf adalah topik yang sedang diburu untuk dan disukai oleh netizen sekarang. Kamu dapat Unduh atau bookmark Metode penelitian literatur pdf file di sini.
Metode Pengumpulan Data Dalam pengumpulan data yang sesuai dengan tema penelitian ini penulis menggunakan beberapa metode yang meliputi. Metodologi Penelitian yang dikembangkan dalam buku ini lebih bersifat kuantitatif sehingga bantuan dari analisis statistik sangat dibutuhkan. Your Metode penelitian literatur pdf photos are ready. Metode penelitian literatur pdf are a topic that has been searched for and liked by netizens now. You can Get or bookmark the Metode penelitian literatur pdf files here.
KAJIAN LITERATUR DAN METODE PENELITIAN 21 Kajian Literatur Kajian Literatur yang dibahas meliputi lahan penggunaan lahan intensitas pemanfaatan lahan harga lahan dan ekonomi lahan 211 Lahan Dalam kaitannya dengan sumberdaya alam dikenal istilah tanah dan lahan yang. Diterbitkannya buku ini di sampign. Kamu Metode penelitian literatur pdf foto yang tersedia di situs ini. Metode penelitian literatur pdf adalah topik yang telah dicari untuk dan disukai oleh netizen sekarang. Kamu dapat Temukan dan Unduh atau bookmark Metode penelitian literatur pdf file di sini.
Jenis Penelitian Desain penelitian ini adalah Literature Review atau tinjauan pustaka. Buku ini ditulis dalam rangka melengkapi literatur perkuliahan Metode Penelitian Pendidikan serta untuk memperluas cakrawala wawasan bahan bacaan baik bagi mahasiswa peneliti maupun masyarakat umum yang tertari mempelajari bidang penelitian pendidikan. Your Metode penelitian literatur pdf image are available in this site. Metode penelitian literatur pdf are a topic that has been hunted for and liked by netizens today. You can Find and Download or bookmark the Metode penelitian literatur pdf files here.
Metodologi Penelitian ini dapat diselesaikan. Tinjauan literatur literature review dari penelitian terdahulu berperan untuk membentuk kerangka berpikir bagi penelitian ini. Kamu Metode penelitian literatur pdf gambar yang siap. Metode penelitian literatur pdf adalah topik yang telah dicari untuk dan disukai oleh netizen sekarang. Kamu dapat Temukan dan Unduh atau bookmark Metode penelitian literatur pdf file di sini.
Tinjauan literatur sangat penting peranannya dalam membuat suatu tulisan ataupun karangan ilmiah. 32 Diagram Blok Metode Penelitian Secara keseluruhan diagram blok perancangan perangkat keras yang akan dibangun. Your Metode penelitian literatur pdf pictures are ready in this website. Metode penelitian literatur pdf are a topic that has been searched for and liked by netizens today. You can Get or bookmark the Metode penelitian literatur pdf files here.
Pustaka Baru Perss 2014 h57. 8 Poltekkes Kemenkes Yogyakarta BAB II METODE PENELITIAN A. Kamu Metode penelitian literatur pdf gambar yang tersedia. Metode penelitian literatur pdf adalah topik yang sedang dicari untuk dan disukai oleh netizen sekarang. Kamu dapat Temukan dan Unduh atau bookmark Metode penelitian literatur pdf file di sini.
1 VWiratna SujarweniMetodeologi Penelitian Yogyakarta. Evaluasi Implementasi Kebijakan Baku Mutu. Your Metode penelitian literatur pdf pictures are available in this site. Metode penelitian literatur pdf are a topic that has been hunted for and liked by netizens today. You can Get or bookmark the Metode penelitian literatur pdf files here.
Pengertian Metodologi Penelitian Metodologi penelitian berasal dari kata Metode yang artinya cara yang tepat untuk melakukan sesuatu. PT Bumi Aksara2013 h33. Kamu Metode penelitian literatur pdf foto yang siap. Metode penelitian literatur pdf adalah topik yang telah dicari untuk dan disukai oleh netizen saat ini. Kamu dapat Unduh atau bookmark Metode penelitian literatur pdf file di sini.
Sehingga dengan menggunakan metode penelitian ini penulis dapat dengan mudah menyelesaikan masalah yang hendak diteliti. Kajian literatur diperoleh dari berbagai sumber baik dari buku maupun jurnal yang terkait digunakan untuk menambah informasi yang diperlukan. Your Metode penelitian literatur pdf pictures are ready in this website. Metode penelitian literatur pdf are a topic that is being hunted for and liked by netizens today. You can Download or bookmark the Metode penelitian literatur pdf files here.
Pertama menggunakan Library Research yang mana metode dalam penelitian ini nantinya menggunakan teori-teori yang diambil dari buku literatur yang mendukung dan relevan dengan judul skripsi ini. METODE PENELITIAN 31 Jenis dan Metode Penelitian Metode penelitian adalah cara ilmiah yang dilakukan untuk mendapatkan data dengan tujuan tertentuLasa2009207. Kamu Metode penelitian literatur pdf gambar yang siap di situs web ini. Metode penelitian literatur pdf adalah topik yang sedang dicari untuk dan disukai oleh netizen saat ini. Kamu dapat Unduh atau bookmark Metode penelitian literatur pdf file di sini.
Kemudian dilanjutkan dengan pemilihan metode yang akan digunakan dalam penelitian nantinya2 Dalam penelitian ini peneliti akan menggunakan dua metode yaitu. Bumi Aksara2009 78-80 cet. Your Metode penelitian literatur pdf photographs are ready in this website. Metode penelitian literatur pdf are a topic that has been searched for and liked by netizens now. You can Find and Download or bookmark the Metode penelitian literatur pdf files here.
Metode Penelitian Kualitatif Studi Pustaka dan Studi Lapangan Wahyudin Darmalaksana UIN Sunan Gunung Djati Bandung Abstrak. Metode - cara yg tepat utk melakukan sesuatu Logos - ilmu atau pengetahuan Metodologi - cara melakukan sesuatu dgn menggunakan pikiran secara seksama utk mencapai suatu tujuan. Kamu Metode penelitian literatur pdf foto yang tersedia di situs ini. Metode penelitian literatur pdf adalah topik yang telah dicari untuk dan disukai oleh netizen sekarang. Kamu dapat Temukan dan Unduh atau bookmark Metode penelitian literatur pdf file di sini.
1 Kajian kepustakaan Library Researh yaitu metode pengumpulan data. Suatu metode penelitian yang mendasarkan diri pada fakta dan menggunakan analisa perbandingan yang bertujuan untuk mengadakan generalisasi empiris menetapkan konsep-konsep membuktikan teori dan mengembangkan teori dimana pengumpulan data dan analisa berjalan pada waktu yang bersamaan. Your Metode penelitian literatur pdf images are ready in this website. Metode penelitian literatur pdf are a topic that is being searched for and liked by netizens now. You can Find and Download or bookmark the Metode penelitian literatur pdf files here.
Literatur lain yang berkenaan dengan fokus pembahasan penelitian ini. TINJAUAN LITERATUR DAN METODE PENELITIAN A. Kamu Metode penelitian literatur pdf gambar yang siap. Metode penelitian literatur pdf adalah topik yang telah dicari untuk dan disukai oleh netizen saat ini. Kamu dapat Unduh atau bookmark Metode penelitian literatur pdf file di sini.
Kata ilmiah dalam Kamus Besar Bahasa Indonesia KBBI mempunyai makna bersifat keilmuan atau memenuhi syarat kaidah ilmu pengetahuan sehingga dapat dipertanggungjawabkan. Serangkaian penelitian yang berkenaan dengan metode pengumpulan data pustaka atau penelitian yang obyek penelitiannya digali melalui beragam informasi kepustakaan buku ensiklopedi jurnal ilmiah koran majalah dan dokumen125 Penelitian kepustakaan atau kajian literatur literature review. Your Metode penelitian literatur pdf image are available in this site. Metode penelitian literatur pdf are a topic that is being hunted for and liked by netizens now. You can Find and Download or bookmark the Metode penelitian literatur pdf files here.
Penelitian Terdahulu yang Relevan. Literatur review dilakukan dengan cara membaca memahami mengkritik dan mereview literatur dari berbagai macam sumber. Kamu Metode penelitian literatur pdf gambar yang siap di situs web ini. Metode penelitian literatur pdf adalah topik yang telah dicari untuk dan disukai oleh netizen saat ini. Kamu dapat Unduh atau bookmark Metode penelitian literatur pdf file di sini.
Penelitian sendiri setelah berlatih selama satu semester. Your Metode penelitian literatur pdf photos are ready. Metode penelitian literatur pdf are a topic that has been searched for and liked by netizens now. You can Get or bookmark the Metode penelitian literatur pdf files here.
Kamu Metode penelitian literatur pdf gambar yang tersedia di situs ini. Metode penelitian literatur pdf adalah topik yang sedang dicari untuk dan disukai oleh netizen saat ini. Kamu dapat Temukan dan Unduh atau bookmark Metode penelitian literatur pdf file di sini.
Your Metode penelitian literatur pdf picture are ready. Metode penelitian literatur pdf are a topic that has been searched for and liked by netizens now. You can Get or bookmark the Metode penelitian literatur pdf files here.
Kamu Metode penelitian literatur pdf gambar yang siap. Metode penelitian literatur pdf adalah topik yang sedang dicari untuk dan disukai oleh netizen sekarang. Kamu dapat Unduh atau bookmark Metode penelitian literatur pdf file di sini.
Your Metode penelitian literatur pdf image are available in this site. Metode penelitian literatur pdf are a topic that is being searched for and liked by netizens now. You can Download or bookmark the Metode penelitian literatur pdf files here.
Kamu Metode penelitian literatur pdf foto yang tersedia. Metode penelitian literatur pdf adalah topik yang sedang dicari untuk dan disukai oleh netizen sekarang. Kamu dapat Temukan dan Unduh atau bookmark Metode penelitian literatur pdf file di sini.
Your Metode penelitian literatur pdf picture are available. Metode penelitian literatur pdf are a topic that has been hunted for and liked by netizens now. You can Get or bookmark the Metode penelitian literatur pdf files here.
Kamu Metode penelitian literatur pdf gambar yang tersedia. Metode penelitian literatur pdf adalah topik yang sedang dicari untuk dan disukai oleh netizen saat ini. Kamu dapat Temukan dan Unduh atau bookmark Metode penelitian literatur pdf file di sini.
Your Metode penelitian literatur pdf picture are ready in this website. Metode penelitian literatur pdf are a topic that is being searched for and liked by netizens now. You can Find and Download or bookmark the Metode penelitian literatur pdf files here.
Kamu Metode penelitian literatur pdf gambar yang siap di situs web ini. Metode penelitian literatur pdf adalah topik yang sedang dicari untuk dan disukai oleh netizen saat ini. Kamu dapat Unduh atau bookmark Metode penelitian literatur pdf file di sini.
Your Metode penelitian literatur pdf photographs are ready in this website. Metode penelitian literatur pdf are a topic that has been searched for and liked by netizens today. You can Download or bookmark the Metode penelitian literatur pdf files here.
Kamu Metode penelitian literatur pdf gambar yang tersedia. Metode penelitian literatur pdf adalah topik yang telah diburu untuk dan disukai oleh netizen sekarang. Kamu dapat Unduh atau bookmark Metode penelitian literatur pdf file di sini.
Your Metode penelitian literatur pdf pictures are ready. Metode penelitian literatur pdf are a topic that has been hunted for and liked by netizens today. You can Find and Download or bookmark the Metode penelitian literatur pdf files here.
Kamu Metode penelitian literatur pdf gambar yang siap di situs web ini. Metode penelitian literatur pdf adalah topik yang telah diburu untuk dan disukai oleh netizen sekarang. Kamu dapat Unduh atau bookmark Metode penelitian literatur pdf file di sini.
Your Metode penelitian literatur pdf picture are available in this site. Metode penelitian literatur pdf are a topic that is being searched for and liked by netizens today. You can Get or bookmark the Metode penelitian literatur pdf files here.
Kamu Metode penelitian literatur pdf foto yang tersedia. Metode penelitian literatur pdf adalah topik yang telah diburu untuk dan disukai oleh netizen sekarang. Kamu dapat Unduh atau bookmark Metode penelitian literatur pdf file di sini.
Your Metode penelitian literatur pdf picture are ready in this website. Metode penelitian literatur pdf are a topic that is being hunted for and liked by netizens today. You can Download or bookmark the Metode penelitian literatur pdf files here.
Kamu Metode penelitian literatur pdf foto yang siap. Metode penelitian literatur pdf adalah topik yang telah diburu untuk dan disukai oleh netizen sekarang. Kamu dapat Temukan dan Unduh atau bookmark Metode penelitian literatur pdf file di sini.
Your Metode penelitian literatur pdf images are ready in this website. Metode penelitian literatur pdf are a topic that is being searched for and liked by netizens now. You can Find and Download or bookmark the Metode penelitian literatur pdf files here.
Kamu Metode penelitian literatur pdf gambar yang tersedia. Metode penelitian literatur pdf adalah topik yang sedang dicari untuk dan disukai oleh netizen sekarang. Kamu dapat Temukan dan Unduh atau bookmark Metode penelitian literatur pdf file di sini.
If the posting of this web page is beneficial to your suport by revealing article posts of the site to social media marketing accounts that you have such as for example Facebook, Instagram among others or may also bookmark this blog page with the title Pdf Resume Metodologi Penelitian Jogiyanto Bab 3 Ayu Nurul Sabilla Academia Edu Make use of Ctrl + D for personal computer devices with Windows operating-system or Command line + D for computer devices with operating-system from Apple. If you use a smartphone, you can also use the drawer menu with the browser you use. Whether its a Windows, Mac pc, iOs or Android operating system, you'll still be in a position to download images using the download button.
Jika artikel yang ada di site bermanfaat untukmu, tolong support postingan artikel ini dengan cara mengekspresikan situs ini ke akun social media yang Anda punya seperti Facebook, Instagram antara lain atau boleh juga membookmark blog ini halaman bersama dengan judul Pdf Resume Metodologi Penelitian Jogiyanto Bab 3 Ayu Nurul Sabilla Academia Edu Manfaatkan Ctrl + D untuk laptop perangkat dengan Home windows operating system or Command + D untuk pc perangkat dengan sistem operasi dari Apple. Jika Anda menggunakan smartphone, kamu bahkan bisa manfaatkan menu laci dari browser Anda memanfaatkan. Entah itu a Windows, Macintosh, iOs atau Android os operating-system, you'll be able to download images utilizing the tombol download.










Belum ada Komentar untuk "Metode Penelitian Literatur Pdf"
Posting Komentar